Introduction:
Population based studies previously have shown that age, race and neighborhood socioeconomic status (SES) influence survival in diffuse large B-cell lymphoma (DLBCL). Cancer registries typically do not collect SES, SES index is usually calculated by residential address (county level metrics). To avoid heterogeneity typical of county level metrics, homogenous census tracts are defined by the US Census Bureau in concert with local authorities. The poverty index (PI) identifies the census neighborhood of a residence as having a poverty level of 0 to 5%, 5-9.9%, 10 to 19.9% and ≥20%. PI has been shown to be a significant predictor of health outcomes. Our aim is to investigate the effect of SES, on DLBCL survival amongst the four PI levels.
Methods:
We queried the Texas cancer registry (TCR) for DLBCL between 2011 and 2017 using morphologic codes (9678, 9679, 9680, 9684, 9688, 9712, 9735, 9735, 9737 and 9738). Cases with age <18 years, unknown height or weight and unknown PI were excluded. Demographics and comorbidities were collected for all cases along with height and weight to calculate body mass index (BMI). Overall survival (OS) by PI was calculated using Kaplan-Meier method, log-ranked test was used to identify differences among cohorts. A multivariate Cox proportional hazards regression model using PI, race, disease burden, stage, age, BMI and type 2 diabetes mellitus (DM) was fitted to the survival data.
Results:
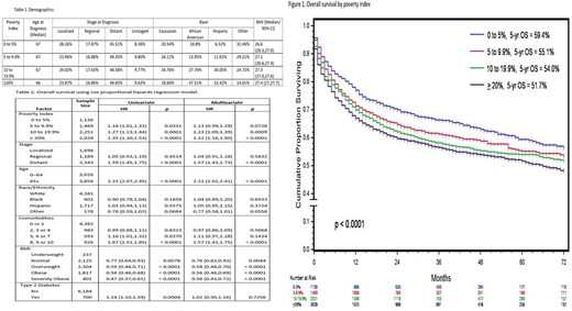
Total of 6,885 cases were identified. Out of total cases, 1136 had PI 0 to 5% (C1), 1469 had PI 5 to 9.9% (C2), 2252 had PI 10 to 19.9% (C3) and 2028 had PI of >20% (C4). Age, Stage, Race and BMI at diagnosis is summarized in Table 1. In C1 43.3% cases had age ≤ 64 years while in C4 47% had age ≤ 64 years (p<0.05). Type 2 DM was present in 6.4% of cases in C1 compared to 13.1% in C4 (p<0.05). In terms of co-morbidities; C1: 66.29% (0-1), 13.38% (2-4), 7.75% (5-7), 12.59% (>8); C2: 65.69% (0-1),13.41% (2-4), 7.83% (5-7), 13.07% (>8); C3: 65.14% (0-1), 14.48% (2-4),8.13% (5-7), 12.26% (>8);C4: 59.07% (0-1), 15.19 (2-4), 10.21% (5-7), 15.53% (>8) (distribution was significantly different among the 4 cohorts as per chi-square test p<0.05). After excluding unknowns, chemotherapy as part of first course of therapy was used in 80% cases in C1, 78.6% in C2, 78% in C3 and 75.6% in C4. Primary payer was private insurance in 40% case in C1 compare to 20% in C4. Median OS at 5 years was 59.4% in C1, 55.1% in C2, 54% in C3 and 51.7% in C4 (p<0.05 by log-rank test). (Figure 1) Cox regression indicated that PI, stage, age <65 & co-morbidities were significant predictors of survival while race & type 2 DM were not significant predictors of survival in the multivariate setting. (Table 2).
Conclusion:
Higher PI is associated with poor survival in DLBCL. This association remains true in multivariate model accounting for other factors. Patients with higher PI tend to have higher BMI compared to patients with lower PI. Patients with higher PI also tend to have a higher number of co-morbidities which is also a predictor of poor survival.
No relevant conflicts of interest to declare.
Author notes
Asterisk with author names denotes non-ASH members.

This feature is available to Subscribers Only
Sign In or Create an Account Close Modal